செல்வப்பெருந்தகை ஊழலுக்கு தி.மு.க., உடந்தையா: வங்கி ஆதாரம் வெளியிட்டார் அண்ணாமலை
செல்வப்பெருந்தகை ஊழலுக்கு தி.மு.க., உடந்தையா: வங்கி ஆதாரம் வெளியிட்டார் அண்ணாமலை
UPDATED : மார் 28, 2025 09:36 PM
ADDED : மார் 28, 2025 05:16 PM

சென்னை: ''தூய்மைப் பணியாளர்களைத் தொழில் முனைவோர் ஆக்குகிறோம் என்ற பெயரில், ஒரு மாபெரும் ஊழலை அரங்கேற்றியிருக்கிறார் தமிழக காங்கிரஸ் கட்சியின் தலைவர் செல்வப் பெருந்தகை. இதற்கு திமுக அரசும் உடந்தையா என்ற கேள்வி எழுந்திருக்கிறது'', என தமிழக பா.ஜ., தலைவர் அண்ணாமலை கூறியுள்ளார்.
இது தொடர்பாக அவர் வெளியிட்டு உள்ள அறிக்கையில் கூறியுள்ளதாவது: தூய்மைப் பணியாளர்களைத் தொழில் முனைவோர் ஆக்குகிறோம் என்ற பெயரில், ஒரு மாபெரும் ஊழலை அரங்கேற்றியிருக்கிறார் தமிழக காங்கிரஸ் கட்சியின் தலைவர் செல்வப் பெருந்தகை. இதற்கு திமுக அரசும் உடந்தையா என்ற கேள்வி எழுந்திருக்கிறது.
தூய்மைப் பணியாளர்களைத் தொழில்முனைவோர்களாக மாற்றுவதாக அறிவித்து, அவர்கள், சென்னை குடிநீர் வாரியம் மற்றும் நகராட்சி நிர்வாக இயக்குனரகம், மூலமாக, அரசுப் பணிகளை ஒப்பந்தம் எடுத்து மேற்கொள்ள, ரூ.524 கோடி மதிப்பில், அடுத்த 7 ஆண்டுகளுக்கு ஒப்பந்தம் வழங்கப்பட்டிருப்பதாக திமுக அரசு அறிவித்திருந்தது.

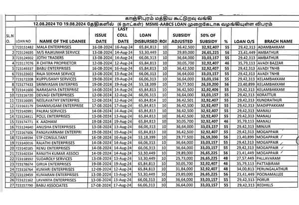
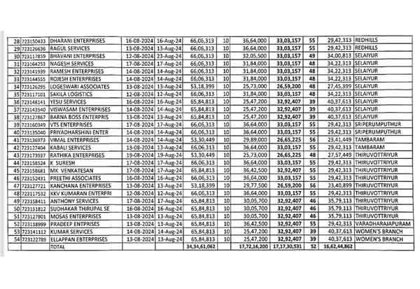
புதிய வங்கிக் கணக்கு தொடங்கி, செக் புத்தகம் வழங்கிய அதே தினத்தில், கணக்கில் 65 லட்ச ரூபாய் வரவு வைத்து, பின்னர் இரண்டு செக்குகளில் கையொப்பம் வாங்கிவிட்டு பயனாளிகள் அனுப்பி வைக்கப்பட்டுள்ளனர். கடன் வழங்கி 7 மாதங்கள் ஆகிவிட்டன. இதுவரை, கடன் தொகையில், ஒரு ரூபாய் கூடத் திருப்பிச் செலுத்தப்படவில்லை. கடன் பெற்ற தினத்திற்குப் பிறகு, அந்தக் கணக்கில் எந்தவித பணப் பரிமாற்றங்களும் இதுவரை நடைபெறவில்லை. கூட்டுறவு வங்கிகள், எந்தவிதப் பிணையும் இல்லாமல், இத்தனை பேருக்குத் தலா ரூ. 65 லட்சம் எந்த அடிப்படையில் வழங்கியது?
உண்மையில் கடன் பெற்றவர்கள், தூய்மைப் பணியாளர்கள்தானா என்ற சந்தேகம் இருக்கிறது. மத்திய அரசின் NSFDC திட்டம் அல்லது NAMASTE திட்டம் மூலமாகக் கடன் பெற்றிருந்தால், உண்மையான பயனாளிகள்தானா என்பதை சரிபார்த்திருப்பார்கள். அதனைத் தவிர்க்கவே, கூட்டுறவு வங்கிகளில் கடன் பெற்றிருப்பதாகத் தெரிகிறது.
கடந்த 2023ம் ஆண்டு, ஜூன் 7 அன்று, சென்னையைத் தலைமையிடமாகக் கொண்டு தொடங்கப்பட்ட Gengreen Logistics & Management Pvt. Ltd என்ற நிறுவனத்துக்கும், வங்கிக் கடன் பெற்ற பயனாளிகளுக்கும் இடையே, கடந்த 2023ம் ஆண்டே ஒப்பந்தம் கையெழுத்தாகியுள்ளது. இந்த ஒப்பந்தத்தின்படி, தமிழக அரசோடு, தூய்மைப் பணியாளர்கள் மேற்கொண்டுள்ள ரூ.524 கோடிக்கான கழிவு நீரகற்றும் ஒப்பந்தப் பணிகளை, அவர்களுக்குப் பதிலாக Gengreen Logistics நிறுவனமே மேற்கொள்ளும் என்று கூறப்பட்டுள்ளது. இந்த நிறுவனத்தின் இயக்குனர்களில் ஒருவரான வீரமணி ராதாகிருஷ்ணன் என்பவர், செல்வப்பெருந்தகையின் சொந்த அண்ணன் மகன். இந்த நிறுவனத்தின் பதிவு அலுவலக முகவரி, தமிழக காங்கிரஸ் கட்சியின் மாநிலத் தலைவர் செல்வப்பெருந்தகையின் அலுவலக முகவரி


